MDTeamGPT: A Self-Evolving LLM-based Multi-Agent Framework for Multi-Disciplinary Team Medical Consultation

Kai Chen1, Xinfeng Li2, Tianpei Yang1*, Hewei Wang3, Wei Dong2, Yang Gao1
1 State Key Laboratory for Novel Software Technology, Nanjing University, Nanjing
2 Nanyang Technological University
3 School of Computer Science, Carnegie Mellon University
研究方法图示

Abstract

Large Language Models (LLMs) have made significant progress in various fields. However, challenges remain in Multi-Disciplinary Team (MDT) medical consultations. Current research enhances reasoning through role assignment, task decomposition, and accumulation of medical experience. Multi-role collaboration in MDT consultations often results in excessively long dialogue histories. This increases the model's cognitive burden and degrades both efficiency and accuracy. Some methods only store treatment histories. They do not extract effective experience or reflect on errors. This limits knowledge generalization and system evolution.

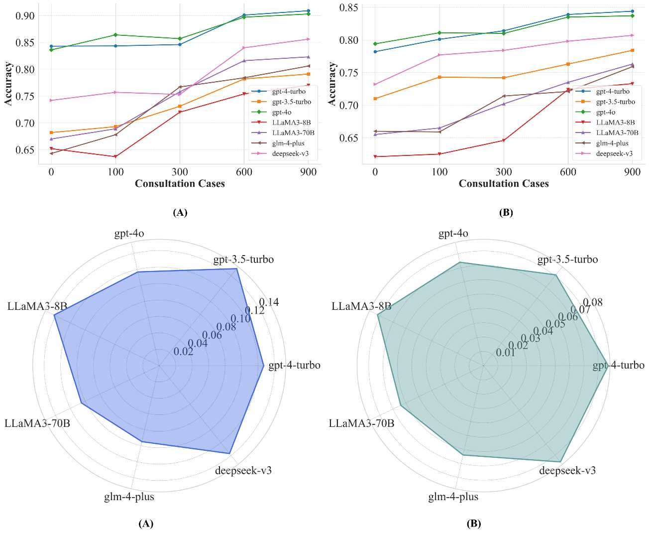
We propose a multi-agent MDT medical consultation framework based on LLMs to address these issues. Our framework uses consensus aggregation and a residual discussion structure for multi-round consultations. It also employs a Correct Answer Knowledge Base (CorrectKB) and a Chain-of-Thought Knowledge Base (ChainKB) to accumulate consultation experience. These mechanisms enable the framework to evolve and continually improve diagnosis rationality and accuracy. Experimental results on the MedQA and PubMedQA datasets demonstrate that our framework achieves accuracies of 90.1% and 83.9%, respectively, and that the constructed knowledge bases generalize effectively across test sets from both datasets.

Experimental Results

实验结果图示